一等: 韩冰、赵景豪、张悦、彭丽婷、贾欣婷、穆振云、王晓宇、程文静(共8人)
二等: 赵璐瑶、陈梦瑶、潘琦、董婉晴、侯艳、张梦琪、陈科旭、王琪、车炳莹、纪宇轩、李辰菲、纪洪琨、胡晓彤、钱诗佳、王娟、祝小瑞、詹梦茹、代可欣、程芳、邱雨晴、周雅娴、 于思琦、 高启晗、 刘依萍、 韩明宇、 王心洁、余筱臻、顾畅、王晓晨、李天晴、王铭雪(共31人)
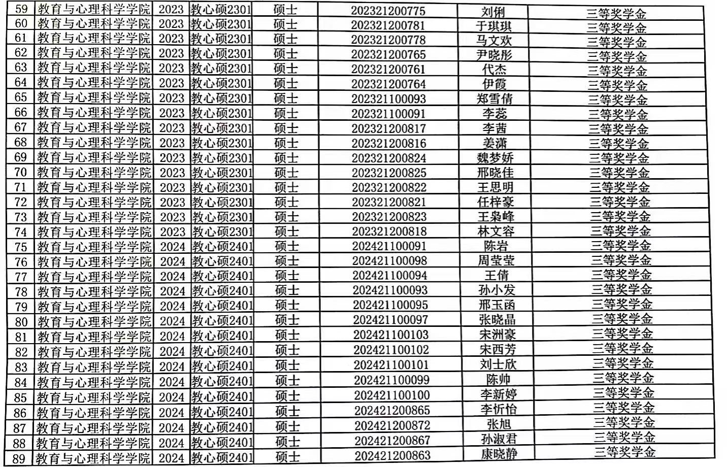
三等:窦广秀、王琦娜、蒋亚亚、刘博臣、崔金雨、靖雪、邹笃军、蔡嘉欣、孙雨、刘隽琪、郭迎澳、马清泽、杜龙凤、李鑫文、谭褚涵、赵永鑫、韩菲、张思曼、刘秀秋、刘俐、于琪琪、马文欢、尹晓彤、代 杰、伊 霞 、郑雪倩、李 蕊、李 茜、姜 潇、魏梦娇、邢晓佳、王思明、任梓豪、王枭峰、林文容、何佳乐、孙晓涵、高 婕、张 燕、张温馨、王 楠、曹思琦、 崔福祺、 孙奥楠、 朱晓慧、 江仲宇、 崔佳琦、李忻怡、张 旭、孙淑君、 康晓静、 范柴依娲、 黄若辰、 王子菡、 钱春晖、李国一、陈岩、周莹莹、王倩、孙小发、邢玉函、张晓晶、王雨洁、李丹丹、郭苡清、刘亚、李冰、张轩萌、 孟小惠、俞恬恬、刘佳文、 宋洲豪、 宋西芳、刘士欣、陈帅、李新婷(共76人)



